如今,这种眼睛/大脑行为使生产各种显示装置成为现实,从为移动应用带来有趣照明效果的小型4×4 LED矩阵,到用于面板显示的100×100 LED矩阵;以及,工业机器中的状态信息显示、大型高清晰度视频墙中使用的1920×1080 LED矩阵,还有娱乐场、音乐会或体育场馆屋顶上的应用等。虽然这些应用似乎完全不同,但他们有一个共同点:每一个LED需要单独放置并根据需要点亮。
对于绝大多数面板(除了非常小的面板),这就提出了一个设计上的难题。在一个4×4的面板中,直接放置16个LED灯仍是可以实现的。然而,即使是一个中等规模的分辨率为256的点阵显示屏,使用256个通道是行不通的。因此,我们必须寻找不同的寻址方法。
传统的方法是通过在点阵中行和列来定义LED坐标。在一个256LED点阵的例子中,这通常被组织成16×16的标准形式(见图1)。

图1:由16行和16列组成的256LED点阵。
每一列(A~P)都连接了16个LED灯的阳极,每一行(1~16)连接16个LED灯的阴极。图1可看出配置所有256个LED灯只需32个通道,远远少于直接部署单个LED所需的256个通道。驱动点阵所需的引脚数量n和LED数量m因此可以表达为:
(1)为了布置给定的LED,例如[01,A],列A需要被连接到VLED(LED电源电压),而行01需要被连接到地(需要一个串联电阻以限制电流)。而在LED驱动芯片的配置中,列A可能直接连到VLED,而行01连接到一个电流阱。该方法可以减去限流电阻。
在每个控制引脚上连接16个LED的缺点在于,无法同时显示一个完整的帧(256个点)。例如,如果LED灯[01,B]和[02,A]同时点亮,LED[02,B]会自动产生压差,与平行的其他两个灯一起点亮,即使它被设定为熄灭状态。为了克服该问题,可以使用时分复用。以50Hz或更高的刷 新速率,人类大脑的视觉处理功能会产生一个无闪烁的连续帧。因此我们可以让LED矩阵段顺次启动,同时保证其他部分处于三态。段刷新率为帧刷新率乘以段数量。
这被证明是一种用于LED多路复用的完美且有效的技术,但它仍然需要一个具有高引脚数的驱动IC和大到足以容纳32个通道导线的印刷电路板。在一般情况下,集成电路和印刷电路板面积越大,材料和生产成本也越高。
显示器制造商对矩阵显示驱动器具有较少引脚数量的需求导致“Charlieplexing”算法的实施,该方法是查理?艾伦在1995年提出的一个架构,他曾作为一名工程师在模拟IC制造商Maxim任职。该想法是连接每个LED的阴极和阳极到相同的通道(见图2)。

图2:Charlieplexed算法下的16×16点阵。
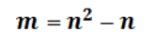
图2显示了没有LED被连接到空的对角线。在这些节点,每一行都和一列产生短路。LED的数量m和所需通道n之间的关系可以计算为:
(2)公式3显示了n经变换后的表达形式。所需的通道数量n和所需的LED数量m之间的关系可以表达为:
(3)[1] [2] 下一页







您还未登录!登录后可以发表回复
文章评论 0人参与